12kw-300kw 리카르도 엔진 발전기
리카르도 발전기 세트 리카르도 시리즈 디젤 엔진 플러스 FMW로 구성됩니다. Deepsea, ComAp 또는 Smartgen 발전기 제어 기능이있는 브러시리스 AC 제너레이터 모듈. 전력 범위 : 12kw ~ 300kw 오픈 프레임 생성기와 캐노피 유형 생성기 모두
리카르도 발전기 세트 리카르도 시리즈 디젤 엔진 플러스 FMW로 구성됩니다. Deepsea, ComAp 또는 Smartgen 발전기 제어 기능이있는 브러시리스 AC 제너레이터 모듈. 전력 범위 : 12kw ~ 300kw 오픈 프레임 생성기와 캐노피 유형 생성기 모두
저소음 발생기 8kw에서 150kw의 범위는 소형 조용한 디젤 발전기 세트 .
저소음 발생기 150kw에서 500kw에 이르기까지 중형 크기 침묵 디젤 발전기 세트.
Cummins 발전기 세트 Cummins 디젤 엔진과 Stamford로 구성됩니다. 발전기, Leroy Somer 발전기 또는 Deepsea, ComAp가있는 FMW 브러시리스 발전기 또는 Smartgen 발전기 제어 모듈. 전력 범위 : 24kw ~ 1800kw 오픈 프레임 생성기와 캐노피 유형 생성기 모두
Lovol 발전기 세트 는 Lovol 디젤 엔진과 Stamford 발전기, Leroy Somer 발전기 또는 Deepsea, ComAp 또는 Smartgen 발전기 제어 모듈이 장착 된 FMW 브러시리스 발전기로 구성됩니다. 전력 범위 : 24kw ~ 160kw 오픈 프레임 생성기와 캐노피 유형 생성기 모두
(12kw-41kw) FMW 브러시리스 발전기 이 산출물의 스코프는 원래 Stamford AC 발전기와 일치하도록 정밀하게 설계 및 제조되었습니다. 기술 사양을 포함한 PI144 시리즈, 각 예비 부품 및 외관 디자인.
Cummins 발전기 세트 Cummins 디젤 엔진과 Stamford로 구성됩니다. 발전기, Leroy Somer 발전기 또는 Deepsea, ComAp가있는 FMW 브러시리스 발전기 또는 Smartgen 발전기 제어 모듈.
전력 범위 : 24kw ~ 1800kw
오픈 프레임 생성기와 캐노피 유형 생성기 모두
제품 번호.:
MCC지불:
TT/LC제품 원산지:
China선적항:
Fuzhou리드 타임:
21 Weekdays
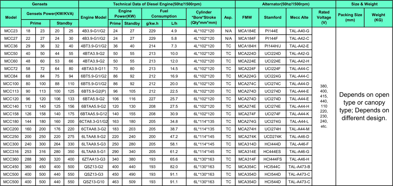
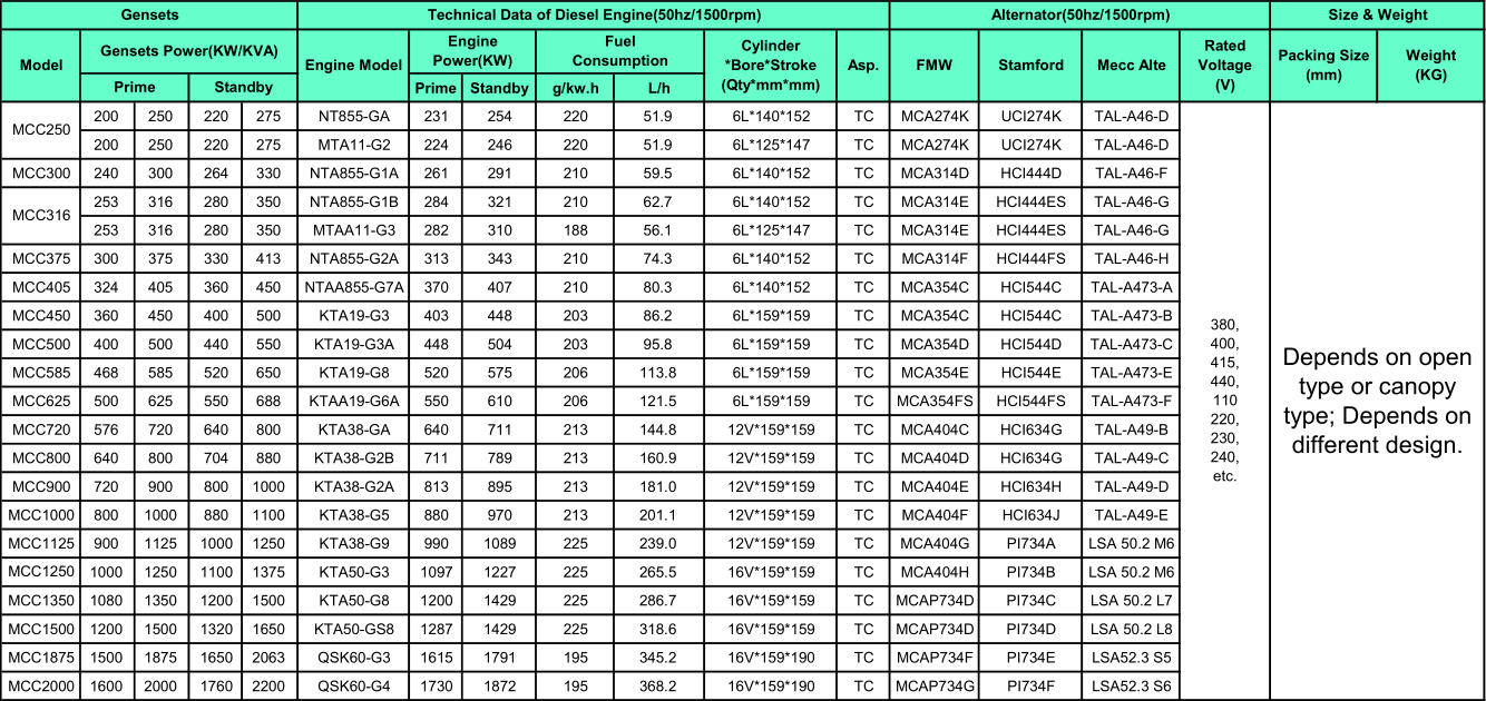
커 민스 생성기 거의 인기가있다. 발전기 세트 모든 종류의 발전소 산업에서 널리 사용됨. 전 세계. Cummins 디젤 엔진의 글로벌 서비스 네트워크 고객에게 안정적이고 보장 된 서비스를 제공하십시오. 전력 범위 커 민스 genset 보낸 사람 : 24kw 까지 1800kw .
1. Cummins 엔진 발전기 주요 사양
동풍 Cummins 생성기

충칭 커 민스 생성기

2. 커 민스 생성기 Se 티
3. 발전기 기능 및 공급 범위
|
표준 부품 |
옵션 부품 |
|
새로운 Ricardo, Lijia 및 Styer 시리즈 디젤 엔진 |
오리지널 스탬 포드 (Stamford), 리로이 서머 (Leroy Somer), 멕 알테 교류기 |
|
새로운 Brushless MCA 발전기 (Class H, IP23, AVR) |
자동 전환 스위치 (A.T.S) 발전기 제어 시스템 |
|
8 시간 연료 탱크가 장착 된 고강도 스틸베이스 프레임 |
병렬 발전기 제어 시스템 |
|
조용한 발전기를위한 2MM-4MM 강철 방음 캐노피 |
8 시간을 초과하는 맞춤형 연료 탱크 달리는 |
|
보호망이있는 안전 가드 라디에이터 |
중부 표준시 50 ℃ 황동 라디에이터 |
|
고 내구성 고무 방진 댐퍼 |
Deepsea7320, Smartgen6110 또는 ComAp AMF25 발전기 제어기 |
|
유연한 입을 가진 중장비 산업 형 소음기 |
매우 추운 날씨에 적합한 온수기 / 윤활유 히터 |
|
상태 표준 고성능 비 유지 보수 배터리 |
ABB, Schneider, Siemens와 같은 전자 제품 |
|
Deepsea6020, Smartgen420 또는 ComAp MRS11 발전기 컨트롤러 |
Cumtomized 슈퍼 침묵 캐노피 고밀도 스폰지 |
|
낮은 오일 압력, 과열, 과부하 및 과속 방지 |
스테인레스 스틸 키, 오일 배출 펌프, 먼지 필터와 같은 특수 부품 기타 |
|
케이블, circuirt 차단기, 릴레이, 램프, 퓨즈, 정지와 같은 상태 표준 전자 장치 장치. |
엑스트라 엔진 및 알터네이터 예비 부품 필터, 개스킷, 노즐, AVR, 정류기 |
|
발전기, 엔진 및 발전기의 작동 매뉴얼이 포함 된 툴킷 |
정비를위한 공구의 다양성을 가진 호화로운 공구 킷 상자 |
4. 기준 및 증명서

5. 디젤 발전기의 장점

① 높은 표준 재료 및 여분
● 나사, 베어링, 노이즈 스폰지, 전선, 진동 흡수 장치, 릴레이, AVR, 다이오드, 게이지, 소나무, 구리 와이어, 강판, 미터, 컨트롤러, 배터리, AMF, ATS 등.
② 높은 교육 수준과 숙련 된 연구 개발 팀
● 고도로 전문적인 연구 개발팀을 통해 FMW 전력 제조업체 표준 신뢰할 수있는 품질의 발전기뿐만 아니라 FMW 전원 슈퍼 침묵 발전기와 같은 발전기의 종류를 설계 할 수, 컨테이너 발전소, 고객의 독특한 요구에 따라 지능형 발전기.
③ 신뢰할 수있는 성능 및 기준
전압 규정:
● 무부하 전압 설정 범위 ≥ (95-105) % Un
● 정상 상태 전압 조정율 ≤ ± 1.0 %
● Tr ansient-state 전압 조정율 ≤ 20 % / - 15 %
● 전압 회수 시간 ≤1.0S
● 전압 변동률 ≤ ± 0.5 %
● 콜드 / 핫 스테이트 전압 비율 ≤2 %
주파수 / 속도 언더 레이션 :
● 부하를 0-100 %, 주파수 / 속도 드룹 비율을 5 % 이내로 변경하십시오.
● 25-100 %의 하중, 모든 일정한 하중 0.25 % 이내의 주파수 / 속도 기복
텔레콤 효과 요인 :
● 50보다 우수한 TIF (MA MG1-22)
● THF (BS EN60034)가 2 %
표준:
● ISO8528, GB / T2820
● EN12601 : 2001, EN60034-22 : 1997, EN60204-1 : 2006
● ISO9001 : 2008 품질 관리 시스템
● 절연 저항 GB5226.1-2002-19.3에 따라 테스트 됨
● GB7에 따라 견딜 수있는 내전압 55-2000-8.1 (1500V x 60S)
● 모든 전기 부품은 GB5226.1-2002-19.6
● 기계적 보안은 GB / T820.8-2002-6.3
● GB / T2820.8-20에 따라 내화 테스트 02-6.4 / 6.5
● 모든 발전기 세트는 25 %, 50 %, 75 %, 100 % 및 110 % 부하로 엄격하게 검사됩니다.
온라인 서비스
0086-593-6589153
[email protected]
genpower2003
0086-13950598181(Cell&WhatsApp)